Electrode Potential Example Problems . electrochemistry practice problems include questions on calculating eo and e, δg based on the cell potential, nernst equation, and more. revision notes on 5.5.4 electrode potential calculations for the ocr a level chemistry syllabus, written by the chemistry experts at save my exams. by the end of this section, you will be able to: standard electrode potential is a measurement of the potential for equilibrium. when using a galvanic cell to measure the concentration of a substance, we are generally interested in the potential. If we find that the potential for the. Describe and relate the definitions of electrode and cell potentials. •the two half cells have to be. There is a potential difference between the electrode and the electrolyte called the potential of the electrode.
from www.youtube.com
when using a galvanic cell to measure the concentration of a substance, we are generally interested in the potential. There is a potential difference between the electrode and the electrolyte called the potential of the electrode. •the two half cells have to be. standard electrode potential is a measurement of the potential for equilibrium. Describe and relate the definitions of electrode and cell potentials. If we find that the potential for the. electrochemistry practice problems include questions on calculating eo and e, δg based on the cell potential, nernst equation, and more. revision notes on 5.5.4 electrode potential calculations for the ocr a level chemistry syllabus, written by the chemistry experts at save my exams. by the end of this section, you will be able to:
Introduction to Electrode Potentials YouTube
Electrode Potential Example Problems If we find that the potential for the. when using a galvanic cell to measure the concentration of a substance, we are generally interested in the potential. by the end of this section, you will be able to: standard electrode potential is a measurement of the potential for equilibrium. There is a potential difference between the electrode and the electrolyte called the potential of the electrode. If we find that the potential for the. revision notes on 5.5.4 electrode potential calculations for the ocr a level chemistry syllabus, written by the chemistry experts at save my exams. Describe and relate the definitions of electrode and cell potentials. •the two half cells have to be. electrochemistry practice problems include questions on calculating eo and e, δg based on the cell potential, nernst equation, and more.
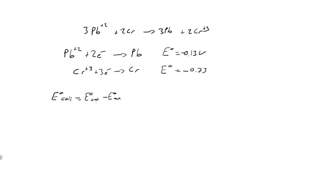
From www.numerade.com
Standard electrode potentials example 1 Numerade Electrode Potential Example Problems Describe and relate the definitions of electrode and cell potentials. •the two half cells have to be. electrochemistry practice problems include questions on calculating eo and e, δg based on the cell potential, nernst equation, and more. revision notes on 5.5.4 electrode potential calculations for the ocr a level chemistry syllabus, written by the chemistry experts at save. Electrode Potential Example Problems.
From www.numerade.com
SOLVEDUse data from the text to construct a standard electrode Electrode Potential Example Problems by the end of this section, you will be able to: •the two half cells have to be. If we find that the potential for the. Describe and relate the definitions of electrode and cell potentials. revision notes on 5.5.4 electrode potential calculations for the ocr a level chemistry syllabus, written by the chemistry experts at save my. Electrode Potential Example Problems.
From www.numerade.com
SOLVEDUsing electrode potentials, calculate the standard freeenergy Electrode Potential Example Problems by the end of this section, you will be able to: •the two half cells have to be. electrochemistry practice problems include questions on calculating eo and e, δg based on the cell potential, nernst equation, and more. Describe and relate the definitions of electrode and cell potentials. There is a potential difference between the electrode and the. Electrode Potential Example Problems.
From www.echemi.com
Calculate the cathode electrode potential in this redox reaction ECHEMI Electrode Potential Example Problems Describe and relate the definitions of electrode and cell potentials. by the end of this section, you will be able to: when using a galvanic cell to measure the concentration of a substance, we are generally interested in the potential. If we find that the potential for the. standard electrode potential is a measurement of the potential. Electrode Potential Example Problems.
From www.numerade.com
SOLVED Use tabulated standard electrode potentials to calculate the Electrode Potential Example Problems Describe and relate the definitions of electrode and cell potentials. If we find that the potential for the. when using a galvanic cell to measure the concentration of a substance, we are generally interested in the potential. •the two half cells have to be. There is a potential difference between the electrode and the electrolyte called the potential of. Electrode Potential Example Problems.
From www.chegg.com
Solved Electrochemical equilibria a) Calculate the standard Electrode Potential Example Problems Describe and relate the definitions of electrode and cell potentials. If we find that the potential for the. when using a galvanic cell to measure the concentration of a substance, we are generally interested in the potential. •the two half cells have to be. by the end of this section, you will be able to: There is a. Electrode Potential Example Problems.
From edurev.in
Electrode Potentials Chemistry for Grade 12 PDF Download Electrode Potential Example Problems If we find that the potential for the. •the two half cells have to be. when using a galvanic cell to measure the concentration of a substance, we are generally interested in the potential. There is a potential difference between the electrode and the electrolyte called the potential of the electrode. revision notes on 5.5.4 electrode potential calculations. Electrode Potential Example Problems.
From www.slideserve.com
PPT Electrode Potentials PowerPoint Presentation, free download ID Electrode Potential Example Problems •the two half cells have to be. by the end of this section, you will be able to: There is a potential difference between the electrode and the electrolyte called the potential of the electrode. Describe and relate the definitions of electrode and cell potentials. If we find that the potential for the. when using a galvanic cell. Electrode Potential Example Problems.
From askfilo.com
The electrode potential of calomel electrode used as a reference electrod.. Electrode Potential Example Problems There is a potential difference between the electrode and the electrolyte called the potential of the electrode. electrochemistry practice problems include questions on calculating eo and e, δg based on the cell potential, nernst equation, and more. Describe and relate the definitions of electrode and cell potentials. •the two half cells have to be. revision notes on 5.5.4. Electrode Potential Example Problems.
From www.youtube.com
Cell Potential Problems Electrochemistry YouTube Electrode Potential Example Problems •the two half cells have to be. electrochemistry practice problems include questions on calculating eo and e, δg based on the cell potential, nernst equation, and more. by the end of this section, you will be able to: There is a potential difference between the electrode and the electrolyte called the potential of the electrode. revision notes. Electrode Potential Example Problems.
From studylib.net
Determination of Electrode Potentials Example Eo Using Cell Electrode Potential Example Problems electrochemistry practice problems include questions on calculating eo and e, δg based on the cell potential, nernst equation, and more. Describe and relate the definitions of electrode and cell potentials. If we find that the potential for the. when using a galvanic cell to measure the concentration of a substance, we are generally interested in the potential. . Electrode Potential Example Problems.
From www.researchgate.net
Electric potentials of electrodes 1, 2 and 3 versus I 14 (a) sample_A Electrode Potential Example Problems when using a galvanic cell to measure the concentration of a substance, we are generally interested in the potential. If we find that the potential for the. Describe and relate the definitions of electrode and cell potentials. standard electrode potential is a measurement of the potential for equilibrium. revision notes on 5.5.4 electrode potential calculations for the. Electrode Potential Example Problems.
From www.youtube.com
Electrode Potentials and Cells Everything You NEED To Know|AQA A Electrode Potential Example Problems by the end of this section, you will be able to: standard electrode potential is a measurement of the potential for equilibrium. There is a potential difference between the electrode and the electrolyte called the potential of the electrode. If we find that the potential for the. •the two half cells have to be. electrochemistry practice problems. Electrode Potential Example Problems.
From www.careerpower.in
Electrode Potential Definition, Formula, Standard Electrode Potential Electrode Potential Example Problems standard electrode potential is a measurement of the potential for equilibrium. Describe and relate the definitions of electrode and cell potentials. when using a galvanic cell to measure the concentration of a substance, we are generally interested in the potential. by the end of this section, you will be able to: If we find that the potential. Electrode Potential Example Problems.
From www.studocu.com
Electric Potential Energy and Electric Potential Example Problems with Electrode Potential Example Problems standard electrode potential is a measurement of the potential for equilibrium. when using a galvanic cell to measure the concentration of a substance, we are generally interested in the potential. •the two half cells have to be. electrochemistry practice problems include questions on calculating eo and e, δg based on the cell potential, nernst equation, and more.. Electrode Potential Example Problems.
From mungfali.com
Electrode Potential Series Electrode Potential Example Problems There is a potential difference between the electrode and the electrolyte called the potential of the electrode. revision notes on 5.5.4 electrode potential calculations for the ocr a level chemistry syllabus, written by the chemistry experts at save my exams. when using a galvanic cell to measure the concentration of a substance, we are generally interested in the. Electrode Potential Example Problems.
From chemistry.stackexchange.com
electrochemistry Standard electrode potential for electrolytic vs Electrode Potential Example Problems by the end of this section, you will be able to: when using a galvanic cell to measure the concentration of a substance, we are generally interested in the potential. If we find that the potential for the. Describe and relate the definitions of electrode and cell potentials. There is a potential difference between the electrode and the. Electrode Potential Example Problems.
From www.chegg.com
Solved The standard electrode potential for the following Electrode Potential Example Problems by the end of this section, you will be able to: standard electrode potential is a measurement of the potential for equilibrium. There is a potential difference between the electrode and the electrolyte called the potential of the electrode. electrochemistry practice problems include questions on calculating eo and e, δg based on the cell potential, nernst equation,. Electrode Potential Example Problems.